-
[보충] IS곡선과 BP곡선의 이동폭 비교[알아가자]경제학/[알아가자]거시경제학 2022. 5. 11. 21:36반응형
IS-LM-BP 모형에서 환율 변화 등으로 인해 IS곡선과 BP곡선이 이동하는 경우가 있습니다.
그런데 이 때 어느 곡선이 더 좌측 또는 우측으로 이동하는지를 판단해야 하는 상황이 종종 발생합니다.
특히 이자율의 경우 둘 중에 어느 곡선이 더 이동하느냐에 따라 결과가 달라지기 때문에 이동폭에 대해 결론을 알아둘 필요가 있습니다.
결론적으로는 IS곡선보다 BP곡선이 이동폭이 더 큰데, 이 이유에 대해서는 단순한 형태의 모형을 활용하여 알아보겠습니다.

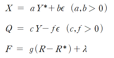
이 때 주요 변수에 대해서 다음과 같이 설정하겠습니다.

(ε : 실질환율)
이제 환율이 상승함에 따라 IS곡선과 BP곡선이 얼마나 이동하는지 살펴보면 다음과 같습니다.
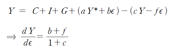
1. IS곡선

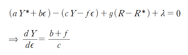
2. BP곡선

위 결과에 따라 실질환율 증가시 소득의 증가폭은 BP곡선이 IS곡선보다 더 크므로 수평이동폭이 BP곡선이 더 크다는 것을 알 수 있습니다.
완전한 자본이동을 전제로 하는 경우에는 BP곡선이 수평이기 때문에 우측 이동을 하더라도 그래프의 이동에는 차이가 없지만, 불완전 자본이동일 경우에는 BP가 우상향하므로 이동폭이 중요한 요소가 됩니다.
특히 BP가 이동폭이 IS보다 크기 때문에 우측 이동을 할 경우 반드시 이자율은 하락하게 되고, 반대로 좌측으로 이동할 경우 이자율은 상승하게 됩니다.
예컨대 높은 정도의 자본이동성을 가진 변동환율제 국가에서 화폐금융정책을 사용했다고 가정해보겠습니다.

화폐공급량 증가로 LM곡선이 우측이동할 경우 국제수지 적자가 발생해 환율이 상승해 BP와 IS곡선이 우측이동하게 됩니다.
이때 IS와 BP곡선이 같은 크기로 움직인다면 균형은 E2가 될 것입니다. 그리고 IS가 BP보다 크게 움직일 경우 E3, IS보다 BP가 더 크게 움직일 경우에는 E1이 균형이 됩니다. 이를 구별하는 것은 이자율의 변동에 있어 의의가 있습니다. 만약 IS가 더 크게 움직인다면 이자율은 상승할 것이고, BP가 더 크게 움직인다면 이자율은 하락할 것입니다.
하지만 우리가 개략적 모형을 통해 알게된 것처럼 BP가 더 크게 움직이므로 실제 균형은 E1이 되고, 변동환율제에서 확장적 통화정책은 이자율을 하락시키게 됩니다.
이해가지 않거나 궁금한 사항이 있는 경우 댓글로 달아주세요
반응형'[알아가자]경제학 > [알아가자]거시경제학' 카테고리의 다른 글
[먼델-플레밍모형] 24. 대외충격에 따른 경제변수 효과 (0) 2022.05.20 [먼델플레밍모형] 23. 자본통제 하 IS-LM-BP모형 (1) 2022.05.15 [먼델플레밍모형] 22. 불완전자본이동 하 IS-LM-BP모형 (1) 2022.05.07 [먼델-플레밍모형] 21. 완전자본이동 하 IS-LM-BP모형 (0) 2022.04.29 [먼델-플레밍모형] 20. BP곡선의 이해 (0) 2022.04.23