-
[정부지출이론] 34. 위험과 불확실성[알아가자]경제학/[알아가자]공공경제학(재정학) 2025. 9. 28. 21:13반응형
이번 글에서는 비용편익분석을 포함하여 경제학에서 사용하는 위험과 불확실성에 대한 평가방식을 살펴보겠습니다.
먼저 위험과 불확실성을 논의하기 전에 정의를 구분하겠습니다.
비용편익분석에서 위험(risk)이란 비용, 편익의 흐름에 관한 확률분포를 아는 상태를 말하고, 불확실성(uncertainty)은 비용, 편익의 흐름에 관한 분포를 모르는 상태를 말합니다.
이 때 불확실한 편익을 평가할 때 비용편익분석에서는 △ 할인율을 높여 불확실한 편익을 과소평가하거나, △ 확실성 대등액을 측정하여 편익으로 취급하는 두 가지 방법을 고려해볼 수 있습니다.
먼저 할인율을 조정하는 방식은 미래의 불확실한 편익이 과다계산되지 않도록 할인율을 보다 더 높게 설정하여 미래 편익을 줄이는 방식입니다.

위 식에서 할인율 ρ를 높이게 되면 미래의 (편익-비용)의 크기가 작아지게 되므로, 순현재가치 NPV가 줄어드는 효과를 가져오게 됩니다.
할인율을 높여 불확실성을 반영하는 방식은 간편할 수 있지만, 사업의 편익/비용 구조에 따라 할인율을 조정하는 것이 비용편익분석의 결과를 왜곡할 수 있습니다. 또한 Stiglitz는 할인율은 미래 가치를 현재가치로 전환하는 수단일 뿐이기 때문에 불확실성에 대한 조정의 역할에 사용되어서는 안된다고 보기도 했습니다.
확실성 대등액을 측정하는 방식은 미래의 불확실한 편익에 대해 대등한 확실한 편익의 크기를 산출하여 확실한 편익을 비용편익분석에 반영하는 것입니다. 이 방식은 위험에 대한 경제학적 평가수단을 따르기 때문에 할인율을 조정하는 것보다 위험/불확실성을 보다 올바르게 반영한다고 볼 수 있습니다. 하지만, 미래의 불확실성에 대한 확률분포를 모르는 상황에서는 평가에 제약이 발생할 수 있습니다. 또한 개개인마다 위험회피정도가 다르기 때문에 확실성대등액을 일률적으로 정하기 어려울 수 있습니다.
한편으로는 불확실성이 비용에 있어서는 오히려 유리해지는 특징을 가지기도 합니다.

일반적인 위험회피자의 편익/비용 - 효용간 그래프를 위와 같이 그려보겠습니다. 그리고 불확실성이 없는 경우라면 c2였을텐데, 불확실성을 고려해서 c1또는 c2로 나타난다고 가정해보겠습니다. 확실성 대등액 c.e.는 c1과 c2 사이의 금액이 되기 때문에 불확실성을 고려하지 않았을 때보다 오히려 비용이 줄어들게 됩니다. 그리고 만약 c.e.가 c1에 점점 가까워질수록 불확실성이 비용의 축소에 유리하게 작용하게 됩니다.
여기에서 우리는 위험비용이라는 개념을 하나 도입하겠습니다.
위험비용(cost of risk)이란 기대소득과 확실성등가 소득의 차이를 말합니다. 즉 위험비용이 클수록 위험회피도로 인해 기대소득과 확실성등가 간의 갭이 크다는 것을 말합니다.
그리고 우리는 위험비용을 다음과 같이 유도할 수 있습니다.
<위험비용의 유도>
위험비용의 정의로부터 다음이 성립합니다.

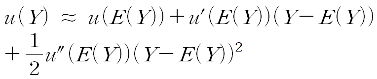
이제 u(Y) 함수가 Y=E(Y) 근처에 있다고 가정하면 다음과 같이 2차까지 테일러 전개가 가능합니다.

이제 양변에 기댓값을 취하면, 1차항은 0이 되므로 다음이 성립합니다.

마찬가지로 확실성대등액에서의 효용을 1차까지 테일러 전개하면 다음과 같습니다.

기대효용과 확실성등가에서의 효용은 동일하므로, 위 두 식은 동일합니다. 따라서 같다고 두면,

여기서 위험비용 C = E(Y)-C.E.이므로 양변을 정리하면 다음을 얻습니다.

[유도 끝]
이때 θA는 절대적 위험기피도를 뜻하는 것으로, 미시경제학에서 다뤘던 내용을 다시 한 번 확인해주시기 바랍니다.
https://fromonetoten.tistory.com/26
[심화] 위험기피도
이번 글에서는 위험이론에서 자세히 다루지 않았던 위험기피도의 개념과 위험성향과 관계 등을 알아보겠습니다. [소비자이론] 위험과 불확실성의 개념 : fromonetoten.tistory.com/23 위험기피도
fromonetoten.tistory.com
이제 이 위험비용을 떨어뜨리는 두 가지 방법을 소개하겠습니다.
1) 위험연합(risk pooling)
위험연합이란 각각의 위험을 합쳐서 서로 상쇄시킴으로서 전체적인 위험을 낮추는 것입니다. 예컨대 n개의 독립사업에 대해 위험에 대한 기댓값과 분산은 동일하다고 가정하면, n개의 사업을 묶어서 진행함으로써 다음과 같이 위험을 낮출 수 있습니다.

2) 위험분산(risk spreading)
위험분산이란 위험을 여러 주체가 나누어서 위험을 제거하는 방법을 말합니다. 예컨대 정부사업의 순편익을 n명의 개인이 나누어진다고 하면 다음과 같이 분산됨을 알 수 있습니다.

특히 위험분산과 관련해서는 애로우 - 린드(Arrow-Lind)정리가 있습니다.
애로우 - 린드 정리에 따르면 △ 공공투자의 편익이 국민소득 대비 크지 않거나 무관하고, △ 공공투자의 비용이나 편익이 다수에게 분할될 경우 해당 공공사업의 위험성은 고려할 필요 없이 사업의 기댓값을 기준으로 판단하면 된다고 밝힌 바 있습니다.
이렇게 공공사업에 위험과 불확실성이 있는 경우, 위험연합 및 위험분산을 통해 위험을 최소화할 수 있습니다. 하지만, 위험이 어느정도 존재할 경우 결정을 미루고 위험이나 불확실성이 해소될 때까지 기다리는 것이 이득일 수도 있습니다.
이처럼 불확실성이 존재하면서 비가역적인 경우 충분한 정보를 얻을 때까지 결정을 뒤로 미룸으로서 얻게 되는 이득을 준옵션가치(Quasi-option value)라고 합니다.(Arrow & Fisher)
예시를 통해 준옵션가치를 이해해보겠습니다.

이제 준옵션가치를 판단하기 위해 지금 시점에서의 편익을 비교해보겠습니다.
지금 시점의 판단 결과 편익은 t=0부터 생긴다고 하면,
i) 개발 시 편익 : -2,200 + ∑250/(1.1)t = 550억
ii) 보전 시 편익 : 0.5× ∑90/(1.1)t = 495억
=> 바로 판단할 경우 개발 결정
이제 조사를 마치고 편익을 계산해보겠습니다. t=1부터 이익이 발생합니다.
iii) 1년 연기 후 편익 : 0.5×(-2,200/1.1 + ∑250/(1.1)t )+0.5× ∑90/(1.1)t = 250+450=700억
따라서 공공사업의 투자여부를 1년미루어 얻게 되는 편익의 크기는 700-550=150억이 됩니다.
다음 시간부터는 조세이론에 대해 알아보겠습니다.
궁금하거나 지적할 사항은 댓글로 알려주세요
반응형'[알아가자]경제학 > [알아가자]공공경제학(재정학)' 카테고리의 다른 글
[조세론] 36. 동등희생의 원칙 (0) 2025.10.07 [조세론] 35. 조세부담의 원칙 (0) 2025.10.03 [정부지출이론] 33. 편익의 구분과 평가 (0) 2025.09.21 [정부지출이론] 32. 비용편익측정 시 가격 설정 방식 (0) 2025.09.17 [정부지출이론] 31. 비용편익분석기법 (0) 2025.09.03