-
[실업인플레이션이론] 42. 화폐발행차익[알아가자]경제학/[알아가자]거시경제학 2022. 10. 20. 21:44반응형
이번 시간에는 인플레이션으로 인해 발행자(통화당국)가 얻게 되는 화폐발행차익(=주조차익, 시뇨리지, seigniorage gain)에 대해 알아보겠습니다.
먼저 직관적으로 화폐발행차익이 어떻게 생기는지 살펴보겠습니다.
한 나라에 유통되는 화폐량의 총합이 100만원이라고 해보겠습니다. 그리고 과자 1봉지의 가격이 1만원이라고 해보겠습니다.
만약 정부가 100만원을 추가로 찍어내게 되면 정부는 아무런 수고나 대가를 지불하지 않고도 과자 100봉지를 살 수 있는 금액을 확보했습니다. 이를 화폐발행차익이라고 합니다.
하지만, 민간주체 입장에서는 원래 과자의 가치는 유통되는 화폐량의 1/100 수준의 가치였으므로 과자가격은 2만원으로 상승하게 됩니다.
만약 대학생 A가 저금해둔 돈이 2만원이었다면 이전에는 과자 2봉지를 먹을 수 있는 돈이었지만 이제는 1봉지밖에 먹지 못하게 됩니다.
그래서 인플레이션의 발생은 각 민간주체 입장에서는 실질자산/소득을 감소시키는 것이기 때문에 인플레이션 조세(inflation tax)로 불립니다.
이제 화폐발행차익을 보다 수식을 활용해서 살펴보겠습니다.
정부 예산은 조세로 거두거나 채권 혹은 화폐 발행으로 충당됩니다. 균형 재정 상태라면 균형식은 다음과 같습니다.

그래서 정부는 조세 수입이나 채권 발행이 불가하다면 통화량을 늘려 정부 예산을 채울 수밖에 없습니다.
이제 화폐 발행 차익 S를 다음과 같이 정의하겠습니다.

화폐발행차익을 위와 같이 정의하는 것은 추가적인 발행량(100만원)을 물가(1만원)로 나눈다는 점에서 직관적으로 타당합니다.
이제 화폐발행차익의 정의 식에서 LM 곡선 식을 대입해보면,

장기적으로 인플레이션율(π)이 통화량 증가율(μ)과 같다면 다음이 성립합니다.

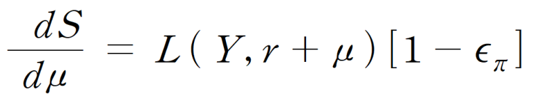
이제 여기에서 정부의 화폐발행차익을 최대로 할 수 있는 통화량증가율 수준을 구하기 위해 식 (1)을 μ에 대해 전미분하면 다음과 같습니다.

이때 실질잔고에 대한 인플레이션 탄력성 επ에 대해 다음과 같이 정의해보겠습니다.

이제 식(2)는 다음과 같이 정리할 수 있습니다.

그래서 위의 전미분 식을 고려해서 μ에 대한 S 그래프를 그리면 아래와 같습니다.

그래서 최적 화폐발행차익이 생기는 수준은 탄력성이 1이 되는 수준임을 알 수 있습니다.
그래서 결과적으로 화폐발행차익은 민간실질잔고를 재원으로 해서 인플레이션율이 세율이 되는 인플레이션 조세의 일종임을 확인할 수 있습니다.
궁금하거나 답변이 필요한 사항은 댓글 달아주세요~
반응형'[알아가자]경제학 > [알아가자]거시경제학' 카테고리의 다른 글
[실업인플레이션이론] 44. 최적정책의 비일관성의 의미와 원인 (1) 2022.11.04 [실업인플레이션이론] 43. 희생률 (0) 2022.10.31 [실업인플레이션이론] 41. 하이퍼인플레이션과 디플레이션 (0) 2022.10.19 [실업인플레이션이론] 40. 인플레이션에 대한 정책대응 (2) 2022.10.11 [실업인플레이션이론] 39. 필립스 곡선 (0) 2022.10.05
