-
[조세론] 37. 조세의 유형과 종류[알아가자]경제학/[알아가자]공공경제학(재정학) 2025. 10. 13. 16:48반응형
이번 시간에는 조세의 유형과 종류를 알아보겠습니다.
Ⅰ. 조세의 유형
조세는 그 특징에 따라 △ 세원의 종류, △ 과세표준의 단위, △ 세율구조, △ 과세주체, △ 납세의무자와 부담자의 일치 여부, △ 과세대상, △ 세금의 목적성 여부 등으로 구분할 수 있습니다.

1) 과세표준의 단위 : 종량세는 수량 또는 물량에 부과하는 것으로 예컨대 개인에 대한 주민세는 1인당 일정 금액을 내는 것이므로 종량세에 해당합니다. 반면 종가세는 가격에 대해 부과하는 것으로 취득세나 종합부동산세 등 대부분의 조세가 해당합니다.
2) 납세자와 부담자의 일치여부 : 납세자가 실제로 해당 조세를 부담하는지 아니면 납세자가 전가를 통해 실제로 부담하는 부담자가 따로 있는지에 따라 직접세와 간접세로 나뉩니다. 직접세에 해당하는 법인세, 소득세, 상속세 등 실제로 세금을 납부하는자가 부담하는 반면, 간접세인 부가가치세는 실제 부담은 구매자가 하지만, 납부는 공급자가 합니다.
3) 과세 대상 : 납세자에게 인적으로 귀속되는 지에 따라 인세와 물세로 나뉘는데 대표적인 인세가 소득세, 상속증여세, 종합부동산세 등이 해당하며, 물세는 등록면허세, 부가가치세 등이 있습니다.
4) 세금의 목적성 : 조세수입의 용도를 특정하였는지 여부에 따라 보통세와 목적세로 구분되며, 목적세에 해당하는 것이 교육세, 농어촌특별세, 지역자원시설세 등이 있습니다.
5) 세율구조 : 소득 대비 평균세율의 변동에 따라 평균세율이 증가하면 누진세, 감소하면 역진세, 일정하면 비례세라고 합니다.
Ⅰ-2. 조세 유형 : 누진세
이 때 누진성의 정도를 측정하는 방식은 크게 두 가지가 있습니다.
첫 번째는 소득 증가에 따른 평균세율의 변화(α)를 측정하는 것으로 수식으로는 다음과 같이 표현됩니다.

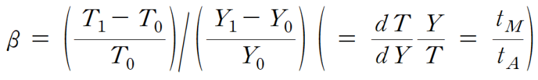
두 번째는 소득에 대한 조세의 탄력성(β)을 측정하는 것으로 다음과 같이 표현됩니다.

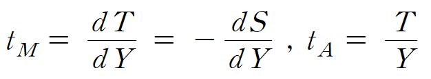
이 때 한계세율은 tM, 평균세율은 tA로 표시되며, 정의는 다음과 같습니다.

α>0, β>1일 때 누진세제라고 여겨지며, 각 지표의 값이 커질수록 누진성이 크다고 평가됩니다.
오늘날 많은 국가에서는 곳곳에서 누진세 제도를 채택하고 있는데 누진세를 채택하는 이유로는 △ 경제적 불평등을 감소시킬 수 있고, △ 고소득자일수록 정부서비스의 혜택이 일반적으로 크기 때문에 편익원칙에 따라 누진세제를 채택하게 됩니다. 또한, 각 개개인이 위험기피자라면 많은 돈을 번 사람이 많은 세금을 납부하는 것이 가장 최적의 의사결정이 될 수 있습니다.
하지만, 누진세는 △ 조세제도를 복잡하게 만들어 조세구멍(Loophole)을 만들 수 있고, △ 누진세로 혜택을 보는 다수가 누진세부담자인 소수를 충분히 배려하지 않아 과다한 조세를 책정할 수도 있습니다. 또한 강력한 누진세제는 △ 미시적 의사결정의 비효율성을 유발하며, 근로의욕 등을 감소시킬 수 있습니다. △ 동일한 경제적 능력을 가지더라도 소득의 변동성이 클수록 누진세제에서는 세부담이 커지므로 수평적 공평성이 위배될 수 있습니다.
예컨대, T = 0.01Y2이라는 누진세제에서 A, B의 2기간 소득이 다음과 같을 때, 각 기간의 조세 납부액과 납부액 합계는 다음과 같습니다.

따라서 전 기간에 동일한 소득을 갖더라도 소득의 변동성이 크다면 누진세로 인해 내야 하는 세부담은 더 커지게 됩니다.
Ⅱ. 경제적 분석 대상인 조세 유형
다음으로 과세 대상의 차원에서 경제학에서 많이 거론되는 세금은 물품세, 근로소득세, 이자소득세 등이 있습니다. 물품세는 재화에 부과되는 세금이고, 근로소득세 및 이자소득세는 소득에 부과됩니다.
1) 물품세 균형조건
재화 평면에서 두 재화 X, Y가 있을 때 재화 X에 대해서 세율 tX만큼 과세될 때 시장 균형 조건은 다음과 같습니다.

2) 근로소득세 균형조건
여가 - 소득 평면에서 소득 M, 여가 L이 있을 때 시간당 임금이 w이고, 임금을 통해 발생한 소득 M에 대해 세율 t만큼 과세될 때 시장 균형 조건은 다음과 같습니다.

3) 이자소득세 균형조건
기간간 평면에서 이자율 i에 대한 세율이 t일 때 기간간 모형의 균형 조건은 다음과 같습니다.

Ⅱ-2. 경제적 분석 대상인 조세 유형 : 중립세
세금의 효율성 측면에서 중립세(lump-sum tax)가 있습니다. 중립세란 초과부담이 없고, 상대가격체계의 변화가 없으며 대체효과도 일으키지 않는 세금을 말합니다. 중립세는 이상적인 세금으로 현실에선 존재하기 어려우나, 대표적인 예시로 인두세와 이윤세를 듭니다. 인두세는 납세자별로 매기는 세금을 말하며, 이윤세는 기업의 이윤에 일정비율을 납부하는 세금을 말합니다.
하지만, 인두세는 가족 단위에서는 자녀 수가 늘어남에 따라 세부담이 커지므로 왜곡이 아예 없다고 말하기 어려우며 강한 역진성을 갖는 세금이라는 단점이 있습니다. 이윤세는 효율성과 공평성을 충족시키지만, 정부가 기업의 내부 정보를 알지 못하는 이상 이윤을 정확히 측정하기가 어려우므로 현실적으로 적용하기 어렵습니다.
Ⅲ. 우리나라의 조세 종류
우리나라의 세금의 종류는 국세와 지방세를 기준으로 다음과 같이 구별할 수 있습니다.


내국세는 국내에 있는 물건에 부과하는 조세이며, 관세는 외국에서 국내로 수입하는 물건에 대해 부과하는 조세입니다. 그 외의 분류 기준에 대해서는 위의 내용을 다시 한 번 살펴보기 바랍니다.
각 개별 세목에 대한 설명은 국세청 홈페이지의 세금 교육 자료를 참고하기 바랍니다.
https://www.nts.go.kr/kid/cm/cntnts/cntntsView.do?mi=7599&cntntsId=238995
어린이국세청
어린이국세청
www.nts.go.kr
다음 시간부터는 조세의 전가와 귀착에 대해 알아보겠습니다.
궁금한 사항은 댓글로 알려주세요
반응형'[알아가자]경제학 > [알아가자]공공경제학(재정학)' 카테고리의 다른 글
[조세론] 39. 조세 귀착 부분균형분석 (1) 2025.10.25 [조세론] 38. 조세 전가와 귀착의 의미 (0) 2025.10.18 [조세론] 36. 동등희생의 원칙 (0) 2025.10.07 [조세론] 35. 조세부담의 원칙 (0) 2025.10.03 [정부지출이론] 34. 위험과 불확실성 (0) 2025.09.28