-
[보충] 독립성이 위배된 경우의 램지규칙 적용[알아가자]경제학/[알아가자]공공경제학(재정학) 2026. 1. 19. 10:07반응형
지난 시간에 최적 물품세 이론 중에서 주요하게 램지규칙을 다루었었습니다.
https://fromonetoten.tistory.com/279
[조세론] 48. 최적물품세이론(램지 규칙)
이번 시간과 다음 시간에는 최적조세이론에 대해서 알아보겠습니다.먼저 최적물품세 이론에 대해서 알아보겠습니다.1. 램지 규칙(Ramsey theory)램지 규칙은 특정한 가정 하에서 초과
fromonetoten.tistory.com
특히 두 재화간의 독립성을 가정했었는데, 여기서는 두 재화간의 관계가 독립적이지 않은 경우에 램지규칙은 어떻게 적용되고, 실제 문제에서는 어떻게 접근할 수 있는지 알아보겠습니다.
먼저 재화 1,2가 서로 독립이 아닐 때 초과부담을 극소화하기 위한 식은 다음과 같습니다.

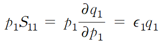
여기서 몇 가지 사항을 짚고 넘어가자면, 먼저 Sij(=dQj/dPi)는 재화 i, j에 대한 슬러츠키항으로 과세에 따른 상호간의 자중손실 효과를 고려한 것이라고 이해하면 됩니다.
구체적으로 t가 그리 크지 않다면 종가세든 종량세든 종가세 형태의 초과부담으로 표현할 수 있을텐데, 이때 가격에 의한 수량의 감소분을 슬러츠키항으로 표현했다고 이해하면 되겠습니다.
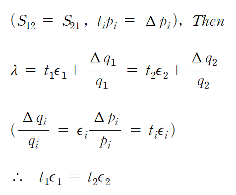
그리고, 슬러츠키 항의 함수적 특성에 의해 S12 = S21이라고 둘 수 있습니다.
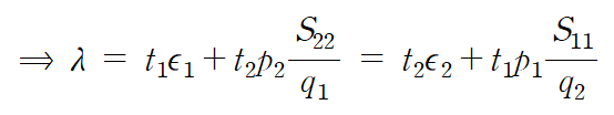
이제 위의 극소화 식에 라그랑지함수로 씌우고 1계 최적 조건을 도출하면 다음을 얻습니다.

이때 슬러츠키항의 정의에 의해 다음과 같이 탄력성에 대한 식으로 정리할 수 있습니다.

따라서 라그랑지 1계 미분식 2개를 람다에 대해 정리하면 다음과 같은 결과를 얻습니다.

여기서 슬러츠키항에 대한 체인룰과 변화량이 작을 때 종량세와 종가세의 값이 일치한다는 점을 고려하면 다음처럼 램지규칙의 결론을 얻습니다.

여기서 알 수 있는 사실은 램지규칙에서는 사실 두 재화간의 독립성이 전제되지 않는다는 점입니다. 독립적이지 않더라도 그 교차효과가 상쇄되기 때문에 탄력성과 세율의 역의 관계가 성립하는 것입니다.
반면 역탄력성 규칙은 램지규칙의 특수한 경우로서 좀 더 직관적으로 이해할 수 있는 룰이라고 이해하면 되겠습니다.
이제 예시를 통해서 독립성이 전제되지 않는 경우의 최적 세율을 구해봅시다.
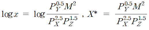
(예문) 재화 x, y와 여가 z의 수요함수가 각 요소의 가격과 소득 M에 대해서 다음과 같을 때 최적물품세 구조를 분석하라 (2010년 5급공채 재정학 제2문)

재화간의 최적세율은 탄력성에 반비례하므로 각 재화의 탄력성부터 구합니다.
크게 두 가지 방식으로 접근해볼 수 있는데, 먼저 탄력성의 정의를 생각해보면,

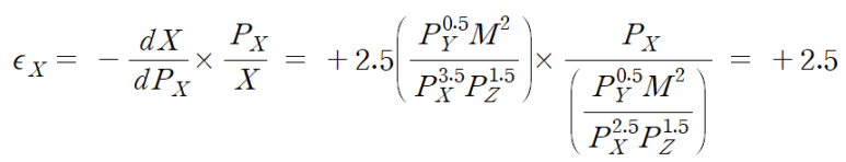
여기서 X의 수요함수를 구해야 하는데, 위에서 주어진 조건식에서 X재의 수요함수를 다음과 같이 찾습니다.

이제 이 수요함수를 탄력성에 넣어 정리하면 X재의 가격탄력성은 다음과 같습니다.

좀 더 간단하게는 탄력성의 정의에 따라 ε=-dlnQ/dlnP임을 활용하면 보다 간단히 구할 수 있습니다.

이제 Ramsey rule에 따라 tX/tY=εY/εX이므로, 두 재화가 서로 독립적이라고 가정한다면, 재화의 최적 과세 비율은 다음과 같습니다.

(1단계 끝)
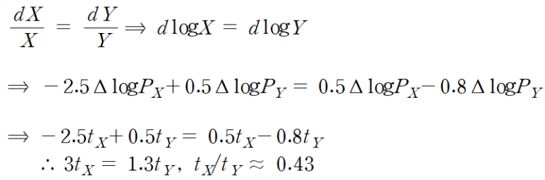
하지만, 실제로는 각 재화의 수요식을 통해서 두 재화는 서로 대체관계(εc=0.5)임을 알 수 있는데, 이를 이용하기 위해 먼저 탄력성 식과 재화량의 변화율 식 간에 다음과 같은 관계를 전제로 두겠습니다.

이제 상호 간의 대체효과를 고려하면 최적 과세 비율은 다음과 같이 생각해볼 수 있습니다.

여기서 제일 이해가 힘든 게 첫 번째 줄에서 두 번째 줄로 넘어가는 부분일텐데 미분값을 따질 때 X와 관련있는 변수만 포함하고 나머지 변수는 변화량에 영향을 주지 않으므로 0으로 처리하여 두 번째 식과 같은 결과를 얻습니다.
(2단계 끝)
보다 궁금하거나 수정이 필요한 사항은 댓글로 달아주세요
반응형'[알아가자]경제학 > [알아가자]공공경제학(재정학)' 카테고리의 다른 글
[조세론] 50. 단일세율 소득세제 (0) 2026.02.02 [조세론] 49. 최적소득세 이론 (0) 2026.01.26 [조세론] 48. 최적물품세이론(램지 규칙) (0) 2026.01.12 [조세론] 47. 소득세와 지출세 (0) 2026.01.09 [조세론] 46. 직접세와 간접세 (1) 2026.01.05