-
[조세론] 49. 최적소득세 이론[알아가자]경제학/[알아가자]공공경제학(재정학) 2026. 1. 26. 16:48반응형
지난 시간에 최적 물품세 이론에 대해 알아봤었는데 이번에는 최적 소득세 이론에 대해 알아보겠습니다.
https://fromonetoten.tistory.com/279
[조세론] 48. 최적물품세이론(램지 규칙)
이번 시간과 다음 시간에는 최적조세이론에 대해서 알아보겠습니다.먼저 최적물품세 이론에 대해서 알아보겠습니다.1. 램지 규칙(Ramsey theory)램지 규칙은 특정한 가정 하에서 초과
fromonetoten.tistory.com
최적소득세 이론은 선형누진세 이론과 비선형누진세 이론으로 나누어 살펴보겠습니다.
먼저 선형누진세 이론에 대해서 알아볼텐데, 우선 선형누진세의 구조를 세팅하겠습니다.

여기서 선형누진세란 한계세율이 일정하여 소득에 대한 산출세액이 선형으로 도출되는 조세체계를 말합니다.
선형누진세(혹은 단일세율 누진세제, 평률세)에 대한 제도적 내용은 별도로 다루기로 하고, 여기서는 최적선형누진세에 대해서만 살펴보겠습니다.
스턴(Stern)은 최적의 선형누진세를 구상하기 위해서 사회에서 평등에 대한 선호 정도를 나타내는 파라미터 ν를 도입하였고, ν에 따라 최적세율의 구조가 다음과 같이 표현된다고 밝혔습니다.

여기서 σ는 소득과 여가 사이의 대체탄력성을 말합니다. 그리고 ν는 평등에 대한 선호를 나타내는 파라미터로 ν=0은 평등에 대한 선호가 전혀 없음을 뜻하며, ν=∞는 가장 못사는 사람의 효용수준이 사회의 후생 수준이 되는 롤즈식(Rawlsian) 가치판단을 하는 경우를 말합니다.
이 그래프에서 특이한 점은 대체탄력성이 0일 때 한계세율은 평등에 대한 선호와 관계없이 1일 때 최적이라는 것인데 이는 세금이 아무리 높아지더라도 소득 - 여가간 선택에 있어 변동이 발생하지 않기 때문에 고율의 세율을 부과하는 것이 최적이라는 뜻입니다.
결론적으로 스턴의 분석에서 한계세율이 높아지는 조건은 크게 4가지로 △ ν의 절대값이 커진다(평등에 대한 선호 증가), △ σ가 작아진다(또는 노동공급 탄력성이 커진다), △ 임금률 분포가 넓어진다, △ 목표로 하는 조세수입이 커지는 경우를 들 수 있습니다.
다음으로 최적 비선형누진세이론을 살펴보겠습니다.
거시경제학에서 래퍼 커브를 다룬 적이 있습니다. 래퍼커브에 대한 기본적인 내용은 다음을 참고하기 바랍니다.
https://fromonetoten.tistory.com/41
[시장균형이론] 최적조세율의 결정
이번 시간에는 지난 글에 이어 조세론 기초로서 최적조세에 대한 논의를 해보겠습니다. 최적조세율은 정의하기에 따라 다르지만 여기서는 조세수입을 극대화하는 세율이라고 정의하고
fromonetoten.tistory.com
래퍼 커브(Laffer curve)는 세율이 일정수준 이상이 되면 세율의 추가적인 인상이 노동공급이 감소시켜 오히려 조세수입을 줄인다는 이론입니다. 따라서 이 이론에 따르면 세율 인하가 오히려 세수증대를 일으킬 수 있습니다.
여기서 최적의 비선형누진세는 다음과 같은 조건을 가집니다.
1) 임금률이 가장 낮은 사람과 가장 높은 사람의 한계세율은 0이어야 합니다. 임금률이 가장 낮은 사람은 지불능력이 없으므로 한계세율을 0으로 하고, 소득이 가장 높은 사람은 추가적인 세금을 내지 않음으로서 노동공급을 증가시키고, 세수는 유지할 수 있어 세금을 추가적으로 더 걷지 않는 것이 파레토 개선(Pareto Improvement)입니다.
이를 과세 졸업이라고 하고 현실에서는 납세액의 상한을 두는 방식으로 한계세율을 0으로 만듭니다.
2) 그리고 임금률이 높은 개인은 낮은 개인과 비교할 때 적어도 같거나 높은 효용을 누리게 되는데 이 효용이 역전되지 않게 설계해야 합니다. 따라서 소득이 증가한다고 해서 항상 한계세율이 증가할 필요는 없습니다.
그래서 결과적으로 최적 비선형소득세는 최적 선형소득세와 유사해진다고 이야기합니다(Mirrlees).
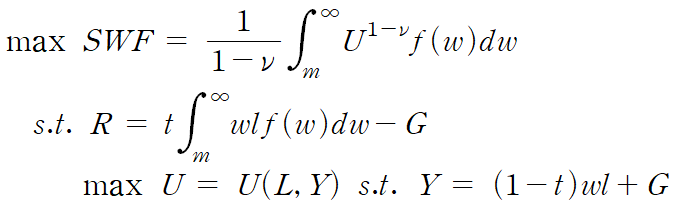
이제 스턴의 사회후생극대화 함수를 통해서 조세수입과 사회후생 변화 간의 관계를 살펴보겠습니다.
스턴이 제시한 사회후생식은 다음과 같습니다.

여기서 U는 사회구성원의 효용이며, f(w)는 해당임금수준을 가진 사람의 비율(또는 수), m은 노동자의 최소임금을 가리킵니다. 그리고 Y는 개인의 소득, G는 정부지출, l은 노동시간, L은 여가입니다.
이제 여기서 각 변수의 크기 변화에 따른 최적 세율(t*)의 변화를 생각해보겠습니다.
그 전에 저 위 식을 통해서 한 가지 주목할만한 사실을 도출해보겠습니다.
목적식과 제약식을 적분식에 대한 식으로 각각 정리하면 다음과 같습니다.

이제 이 두 식을 서로 나누면 다음을 얻습니다.

여기서 가운데 항은 상수들의 값이므로 일정한 값을 뜻하므로 가장 우변의 값도 일정하게 유지됩니다.
1) m의 상승
사회 내 최저임금 m의 크기가 상승하면 위 식의 우변의 크기가 감소합니다. 따라서, t값은 상승해야 합니다.
2) R의 상승
목표 조세수입 R의 크기가 상승하면, 분모의 값도 커져야 하므로 최적 t값은 상승합니다.
3) ν의 상승
직관적으로는 사회의 형평에 대한 선호도 ν가 상승하면, 납세자들은 정부의 재분배 정책을 지지할 가능성이 높고, 이를 위한 강력한 조세정책을 수인할 의사가 더 높으므로 최적세율이 상승한다고 생각해볼 수 있는데, 이를 수식적으로 확인해보겠습니다.
ν의 상승으로 (1-ν)는 작아지는데, 이때 U>1이라면, U(1-ν)/1-ν의 증감을 따져서 최적세율 t의 변화를 예측합니다. 그래프를 도식화하기 위해 h=1-ν라 두면, g(h)=Uh/h입니다.
개형을 파악하기 위해 먼저 1계미분함수를 구해보면,

이 때 극점에서의 값이 극솟점인지 극댓점인지 파악하기 위해 h의 크기에 따른 g'(h)의 부호를 판단해보면, 다음과 같습니다.

따라서, 극솟점인 것을 알 수 있고, g(h)의 개형을 파악하기 위해 0과 무한대에서의 크기를 계산해보면 다음과 같습니다.

이제 위 결과를 토대로 g(h)의 개형은 아래와 같이 유추해볼 수 있습니다.

한편 0<ν<∞의 값이므로 h는 -∞에서 1 사이의 함수입니다. 따라서, h<1/lnU에서 g(h)는 증가하므로 이 경우 최적세율은 증가하게 됩니다. 특히 U<e일 경우 1/lnU는 항상 1보다 크므로 모든 구간에서 최적세율은 증가가 최적이 됩니다.
4) σ의 상승
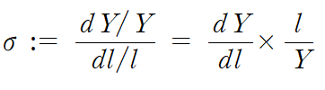
마지막으로 여가 - 소득 간의 대체탄력성 σ가 상승하는 경우 최적세율의 변화를 생각해보겠습니다.
직관적으로는 여가와 소득간 대체탄력성이 커지면 세율 증가에 따라 실질수취임금이 감소하게 되면 여가를 더 쉽게 늘릴 수 있으므로 최적세율이 떨어지는 것이 타당한데 수식적으로도 맞는지 확인해보겠습니다.
여가 - 소득 간 대체 탄력성은 그 정의에 따라 다음과 같이 기술됩니다.

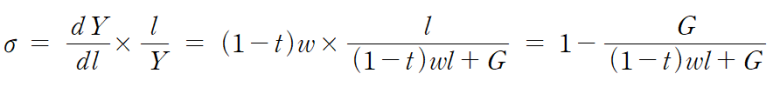
이 때 두 번째 제약식인 여가 소득 효용극대화 식의 제약식으로부터 dY/dl = (1-t)w임을 알 수 있습니다. 이를 탄력성 식에 대입하면 다음과 같이 정리할 수 있습니다.

따라서 σ가 상승하면 분모는 커져야 하므로 t값은 작아져야 함을 알 수 있습니다.
궁금하거나 수정이 필요한 사항은 댓글로 알려주세요
반응형'[알아가자]경제학 > [알아가자]공공경제학(재정학)' 카테고리의 다른 글
[조세론] 51. 근로소득세가 의사결정에 미치는 영향 (0) 2026.02.10 [조세론] 50. 단일세율 소득세제 (0) 2026.02.02 [보충] 독립성이 위배된 경우의 램지규칙 적용 (1) 2026.01.19 [조세론] 48. 최적물품세이론(램지 규칙) (0) 2026.01.12 [조세론] 47. 소득세와 지출세 (0) 2026.01.09