-
[생산자이론] 비용함수와 공급함수 유도[알아가자]경제학/[알아가자]미시경제학 2021. 5. 27. 20:07반응형
이번 시간에는 생산함수를 활용해서 비용함수와 공급함수를 유도하는 방법을 살펴보겠습니다.
물론 다들 알고 있겠지만, 각 함수별로 가지는 독립변수들은 다음과 같습니다.
생산함수 : Q=f(L,K)
비용함수 : C=f(w,r,Q)
공급함수 : P=f(w,r,Q)
1. 생산함수 → 장기비용함수 유도
생산함수에서 장기비용함수를 유도하기 위해서는 먼저 생산함수에서 조건부요소수요함수를 유도해야합니다.
조건부 요소수요함수(Conditional factor demand)는 비용극소화가 달성될 때 요소의 최적해를 말합니다.
조건부 요소수요함수는 비용극소화를 통해서 L=f(w,r,Q), K=f(w,r,Q) 형태로 유도되므로 이를 다시 목적식에 대입하면 장기비용함수를 구할 수 있습니다.
이제 대표적인 생산함수 형태별로 장기비용함수를 살펴보겠습니다.
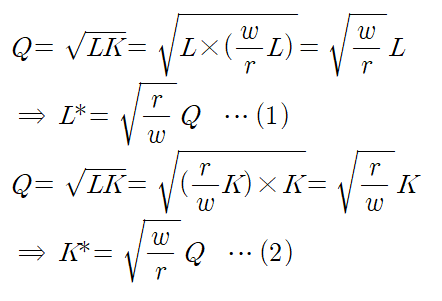
1) Q=L^0.5K^0.5 (콥-더글라스 생산함수)

한계기술대체율의 값과 요소가격의 상대적비율이 동일한 1계 조건이 만족할 때 wL=rK가 성립하며 이를 다시 생산함수에 대입하면 조건부 요소수요함수를 아래와 같이 유도할 수 있습니다.

이제 유도된 조건부 요소수요함수를 비용함수인 wL+rK에 대입하면 장기비용함수는 다음과 같이 정리됩니다.

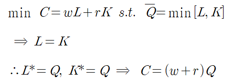
2) Q=min[L,K] (레온티에프 생산함수)

3) Q=L+K (선형 생산함수)

여기서 비용함수가 레온티에프 모양이라는 것은 아니고 비용함수는 선형이되, 그 계수가 minimum 함수에 의해 정해진다는 의미입니다.
2. 생산함수 → 단기비용함수 유도
단기비용함수는 MRTS=w/r 조건을 이용하는 것이 아니라 K를 고정요소로 두고, L를 가변요소로 보아 제약식을 L에 대한 함수로 정리한 후 비용함수에 대입하면 됩니다.
예컨대 생산함수가 콥-더글라스 형태의 일종일 때 단기비용함수는 다음과 같습니다.

3. 생산함수 → 단기공급함수 유도
단기공급함수는 생산량과 자본량이 고정되어 있는 상황에서 기업의 이윤을 극대화하는 수량과 가격의 관계이므로, 이윤식 TR-TC을 극대화하는 조건을 유도하면 되겠습니다. 이때 단기공급함수이므로 단기비용함수를 이용해서 공급함수를 구합니다.
예를 들어 위의 생산함수와 단기비용함수를 활용한다면, 결과는 아래와 같습니다.

결과에서 알 수 있듯이 단기공급함수는 단기비용함수를 미분한 것으로서 단기한계비용(SMC)과 동일합니다.
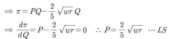
4. 생산함수 → 장기공급함수 유도
장기공급함수는 단기공급함수와 마찬가지로 이윤극대화 식을 활용하되 제약조건식을 단기비용함수가 아닌 장기비용함수로 하면 되겠습니다.
예시로 사용하는 생산함수에 대해서 조건부요소수요함수와 장기비용함수를 구하면 아래와 같습니다.

이제 해당하는 장기비용함수를 이윤식에 대입해서 이윤을 극대화하는 값을 구하면 됩니다.

결과에서 알 수 있듯이 장기공급함수는 장기비용함수를 미분한 것으로서 장기한계비용(LMC)과 동일합니다.
비용함수 식에 대해서 좀 더 알아보면 비용함수가 C=F(w,r,Q)인데 만약 C=f(w,r)g(Q) 형태로 분리가 가능하다면, f(w,r)은 요소간 결합 방식, g(Q)는 규모의 경제 여부를 함의합니다.
예컨대 콥더글라스 생산함수의 경우 비용함수는 다음과 같습니다.

이때 앞의 계수는 요소간 결합방식이 곱으로 되어 있어 상호간 어느정도 대체가 가능함을 의미하며, Q는 차수가 1차로 규모의 경제가 발생하지 않음(평균비용 일정)을 뜻합니다.
다음 시간에는 이윤과 유사하지만 다른 개념인 생산자잉여와 소비자잉여에 대해서 알아보겠습니다.
궁금한 점이나 고칠 부분은 댓글로 알려주시면 반영하겠습니다!
반응형'[알아가자]경제학 > [알아가자]미시경제학' 카테고리의 다른 글
[시장균형이론] 지대와 지대추구행위 (1) 2021.05.31 [시장균형이론] 생산자 잉여, 소비자 잉여와 이윤 (1) 2021.05.29 [생산자이론] 생산자의 이윤극대화 (0) 2021.05.24 [생산자이론] 단기와 장기 비용함수의 특성 (0) 2021.05.22 [생산자이론] 비용함수의 정의와 관계 (0) 2021.05.20