-
[생산자이론] 생산자의 이윤극대화[알아가자]경제학/[알아가자]미시경제학 2021. 5. 24. 22:20반응형
이번 글에서는 이윤과 비용에 대한 개념을 살펴보면서 생산자의 경제적 동기인 이윤극대화와 비용극소화를 살펴보겠습니다.
생산자(기업, 개인 등)의 의사결정의 기본적 동기는 경제적 이윤 극대화입니다.

여기서 이윤(π)은 총수입(TR)에서 총비용(TC)을 뺀 값으로 구할 수 있습니다.
이때 총수입은 판매가격(P)과 판매량(Q)의 곱으로 이루어지며, 총비용은 총고정비용(TFC)과 총가변비용(TVC)의 합으로 이루어집니다.
총고정비용이란 판매량(=생산량, 산출량)과 관계없이 무관하게 지출되는 비용을 말하며, 총가변비용은 생산량에 따라 변하게 되는 비용을 말합니다.
1) 이윤의 분류
이윤은 여러 방식으로 쪼갤 수 있지만 일반적으로 정상이윤과 초과이윤의 합으로 볼 수 있습니다.
정상이윤(normal profit)은 현재 기업의 의사결정을 변화시키지 않도록 할 수 있는 최소한의 이윤을 말합니다. 의사결정을 변화시키지 않는 이윤 수준이란 현재의 이윤이 기회비용과 같을 경우를 말합니다. 현재 의사결정을 이탈하더라도 다른 행위로 더 높은 이익을 얻지 못하기 때문입니다.
초과이윤(excess profit)은 정상이윤을 초과하는 이윤의 크기로 경쟁적인 시장이라면(완전경쟁시장), 초과이윤은 없는 것이 일반적입니다. 그러나 독점이나 과점시장의 경우 기업에 초과이윤이 발생할 수 있으며, 산업의 진입장벽이 있는 경우 해당 산업에 소속된 기업들은 지대를 가질 수 있는데 이 지대(rent)의 특성에 따라 초과이윤으로 볼 수도 있습니다.
2) 이윤극대화 조건
일반적인 경우에 기업의 이윤 극대화 조건은 총수입-총비용의 값을 극대화하는 것입니다.
따라서 이윤함수의 극대점이라는 조건이 성립해야 하며, 이를 위해서는 1계미분값이 0이고, 2계미분값이 0보다 작아야 합니다.

1계조건과 2계 조건을 더 풀어서 쓰면 다음과 같습니다.

엄밀한 의미에서 이윤극대화 여부를 확인하기 위해서는 두 조건을 모두 확인해야 하지만, 2계조건은 통상의 이윤극대화 식에서는 자연히 성립하는 경우가 많으므로, 예외적인 경우가 아니면 1계 조건만 가지고 이윤극대화 논의를 하도록 하겠습니다.
그래서 우리는 기업의 이윤극대화 조건으로 다음의 수식을 가장 많이 사용할 것입니다.
MR(Q)=MC(Q)
3) Amorso-Robinson 공식
Amorso-Robinson 공식은 TC=0일 때 탄력성과 이윤극대화간의 관계를 나타냅니다.

위 식에 따르면 탄력성이 매우 크다면 P와 MR의 크기는 매우 비슷해집니다. 이는 탄력성이 크다면 판매량 상승에 따른 가격변화가 그만큼 매우 작다는 의미입니다. 그리고 탄력성이 1이 되면 MR=0이 되어 이윤이 극대화됩니다.
탄력성에 대한 논의는 시장균형이론에서 자세히 다룰 예정입니다.
4) 단기 이윤극대화
여기에서 단기는 다른 생산투입요소는 고정하고, 1개의 투입요소에 대해서만 결정할 수 있다고 가정합니다.

가변요소가 X1이라고 할 때, 이윤극대화 조건을 찾기위해 위 이윤식을 X1으로 미분하면,

따라서, 해당 투입요소에 대한 이윤극대화 조건은 한계생산의 크기가 w1/p와 같을 때입니다.
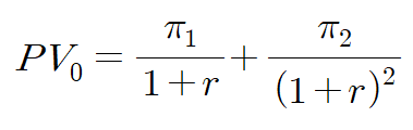
5) 다기간 주주의 이윤극대화
기업은 장기간 유지되기 때문에 당장 지금의 이익이 아닌 미래를 포함한 이윤의 현재가치를 극대화할 유인도 가지고 있습니다.
예컨대 2기간에 따른 이윤의 크기는 각 기의 이윤이 파이1.2이고 이자율이 r일 때 다음과 같습니다.

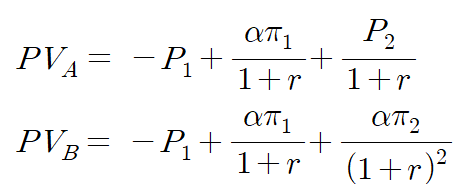
어떤 회사의 배당금 비율이 알파, 각 기간에서 주식의 가격이 P1, P2이고 이윤이 π1, π2, 이자율이 r일 때
1기에 매수해서 2기에 매도하는 투자자 A, 2기까지 보유하는 투자자 B의 주식에 대한 0기에서 현재가치는 각각 아래와 같습니다.

이 경우 A와 B의 의사결정의 차이가 없게되는 수준인 P2는 다음과 같습니다.

이 논의에서 소위 단타투자를 하더라도 각 개인은 기업의 미래가치까지 고려해서 결정하는 것이며, 합리적 의사결정 중 하나라는 것을 이해할 수 있습니다.
6) 이윤극대화 가설에 대한 비판
기업의 이윤극대화 가설은 강력한 설득력을 가지고 있지만, 기업의 의사결정을 과도하게 단순화하며 특히 정보의 부족에 따라 제한된 합리성 하에서 기업이 과연 이윤극대화를 추구할지에 대해서 의문을 제기하기도 합니다.
그래서 단기의 이윤이 아닌 장기간에 걸친 이윤극대화를 추구하거나, 아니면 이윤이 아닌 수입을 극대화하기 위해 노력하기도 합니다. 특히 소유와 경영이 분리된 상황에서 경영진은 기업의 규모를 크게 보이게 하기 위해서 이윤보다는 수입을 극대화하려는 동기가 더 강할 수 있습니다.
더 극단적으로는 기업이 손해를 보지 않는 선에서 자신의 생산량을 극대화하는 점을 택할 수도 있습니다.
6-2) 기업의 이윤극대화/수입극대화/생산량극대화 비교
수입극대화를 하는 경우 경영진은 아래 그래프에서 총수입을 극대화하는 점 Q2를 선택합니다. 그러나 기업이 이윤을 극대화하기 위해서는 MR과 MC가 같아지는 Q1에서 생산량을 선택해야 합니다.
그래서 수입을 극대화하는 기업들은 이윤을 극대화하는 기업들보다 매출 상승을 위해 더 많은 생산량을 확보하는 경향이 있습니다.

그리고 Q3는 TR=TC가 같은 점입니다. 이 점은 기업이 손해를 보지 않는 선에서 최대한 생산할 수 있는 양입니다. 그래서 Q3는 기업의 생산량 극대화할 수 있는 점입니다.
이제 각 극대화 목표를 달성하는 생산량간의 크기를 비교해보겠습니다.

이윤극대화, 수입극대화, 생산량극대화 점을 각각 Q1, Q2, Q3라고 할 때 한 가지 경우는 위와 같이 이윤극대화 생산량이 제일 작고, 수입극대화 생산량이 이보다 크고 생산량극대화 생산량이 제일 큰 경우입니다.
하지만, 다른 경우도 아래와 같이 존재합니다.

이윤극대화 생산량은 여전히 제일 작지만, 그 다음이 생산량극대화이며, 수입극대화 생산량이 제일 큰 경우도 존재합니다. 이때 수입극대화 생산량을 택하는 기업들은 일시적으로 기업이 손해를 감수하고 매출규모를 키우기 위해 의도적으로 Q2를 선택하는 경우에 해당합니다.
7) 비용의 분류
통상적으로 비용이라함은 회계비용(accounting cost)을 말합니다. 회계비용이란 회계사가 기업의 자산과 부채를 평가하여 대차대조표를 만들 때 기업의 비용으로 인정하는 각종 항목들의 합이 되는데, 보통 생산에 소요되는 비용들을 가리킵니다.
이에 반해 기회비용(opportunity cost)은 어떤 생산요소가 현재 용도로 이용되지않고 다른 용도로 이용될 때 얻을 수 있는 최대한의 수익을 가리킵니다.
예컨대 기업이 공장을 소유하고 있을 경우 외적으로는 임대료를 지불하지 않아 비용에 포함시키지 않을 수 있지만 경제적으로는 임대료 대신 토지를 구매한 것이므로 비용에 포함된다고 할 수 있습니다.
실제 회계에서는 이런 기회비용들이 고려되기도 하며, 기업의 의사결정 시에도 기회비용을 고려하여 이윤을 계산해야 합니다.
다음으로 비용의 귀속방식에 따라 사적 비용(private cost)과 사회적 비용(social cost)으로 나눌 수 있습니다
사적 비용은 행위주체가 온전히 부담하는 비용을 말하며, 사회적 비용은 어떤 개인의 경제행위로 발생한 모든 비용의 합을 가리킵니다.
이 사적 비용과 사회적 비용의 차이는 외부효과를 다루게 되면 더 자세히 논의하겠습니다.
다음 시간에는 비용함수와 생산함수를 유도하는 방법에 대해 알아보겠습니다.
궁금한 사항이나 지적할 부분은 댓글로 알려주세요~
반응형'[알아가자]경제학 > [알아가자]미시경제학' 카테고리의 다른 글
[시장균형이론] 생산자 잉여, 소비자 잉여와 이윤 (1) 2021.05.29 [생산자이론] 비용함수와 공급함수 유도 (0) 2021.05.27 [생산자이론] 단기와 장기 비용함수의 특성 (0) 2021.05.22 [생산자이론] 비용함수의 정의와 관계 (0) 2021.05.20 [심화] 규모수익과 규모의 경제의 관계 (0) 2021.05.17